For the latest version of JMP Help, visit JMP.com/help.


Publication date: 07/15/2025

Statistical Details for Fit Curve Models

The formulas for the models that are available in the Fit Curve red triangle menu are summarized in Table 14.1.

Table 14.1 Fit Curve Model Formulas

Model

Formula

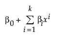
Polynomials

Image shown here

Equation shown here

where k is the order of the polynomial. These models can also be fit using the Fit Model and Fit Y by X platforms.

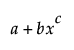
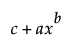
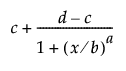
Power Model

Image shown here

Equation shown here

a = Intercept

b = Slope

c = Power

Available only when both the response values and the x values are nonnegative.

Logistic 2P

Image shown here

Equation shown here

a = Growth Rate

b = Inflection Point

Available only when all response values are between zero and one.

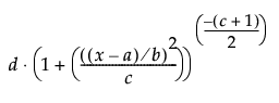
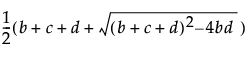
Logistic 3P

Image shown here

Equation shown here

a = Growth Rate

b = Inflection Point

c = Asymptote

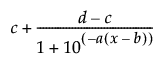
Logistic 4P

Image shown here

Equation shown here

a = Growth Rate

b = Inflection Point

c = Lower Asymptote

d = Upper Asymptote

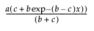
Logistic 4P Rodbard

Image shown here

Equation shown here

a = Growth Rate

b = Location

c = Lower Asymptote

d = Upper Asymptote

Available only when the x values are positive.

Logistic 4P Hill

Image shown here

Equation shown here

a = Growth Rate

b = Inflection Point

c = Lower Asymptote

d = Upper Asymptote

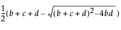
Logistic 5P

Image shown here

Equation shown here

a = Growth Rate

b = Location

c = Asymptote 1

d = Asymptote 2

f = Power

Probit 2P

Image shown here

Equation shown here

a = Growth Rate

b = Inflection Point

Φ = Normal Distribution CDF

Available only when all response values are between zero and one.

Probit 3P

Image shown here

Equation shown here

a = Growth Rate

b = Inflection Point

c = Asymptote

Φ = Normal Distribution CDF

There is also an asymptote at zero.

Probit 4P

Image shown here

Equation shown here

a = Growth Rate

b = Inflection Point

c = Lower Asymptote

d = Upper Asymptote

Φ = Normal Distribution CDF

Gompertz 3P

Image shown here

Equation shown here

a = Asymptote

b = Growth Rate

c = Inflection Point

Gompertz 4P

Image shown here

Equation shown here

a = Lower Asymptote

b = Upper Asymptote

c = Growth Rate

d = Inflection Point

Weibull Growth

Image shown here

Equation shown here

a = Upper Asymptote

b = Location

c = Growth Rate

Available only when both the response values and the x values are nonnegative.

Exponential 2P

Image shown here

Equation shown here

a = Scale

b = Growth Rate

Exponential 3P

Image shown here

Equation shown here

a = Asymptote

b = Scale

c = Growth Rate

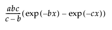
Biexponential 4P

Image shown here

Equation shown here

a = Scale 1

b = Decay Rate 1

c = Scale 2

d = Decay Rate 2

Available only when the response values are positive.

Biexponential 5P

Image shown here

Equation shown here

a = Asymptote

b = Scale 1

c = Decay Rate 1

d = Scale 2

f = Decay Rate 2

Mechanistic Growth

Image shown here

Equation shown here

a = Asymptote

b = Scale

c = Growth Rate

Hybrid Exponential

Image shown here

Equation shown here

a = Maximum

b = Scale

c = Rate

d = Power

Available only when both the response values and the x values are nonnegative.

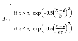
Cell Growth 4P

Image shown here

Equation shown here

a = Peak value if mortality rate, d, is zero

b = Response at time zero

c = Cell Division Rate

d = Cell Mortality Rate

Available only when the response values are positive and the x values are nonnegative.

Gaussian Peak

Image shown here

Equation shown here

a = Peak Value

b = Critical Point

c = Growth Rate

Asymmetric Gaussian Peak

Image shown here

Equation shown here

a = Critical Value

b = Scale 1

c = Scale 2

d = Peak Value

Available only when the response values are nonnegative.

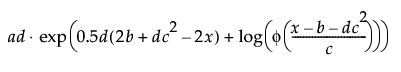
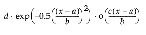
Skew Normal Peak

Image shown here

Equation shown here

a = Location

b = Scale

c = Skew

d = Peak Value

φ = the standard normal pdf

Available only when the response values are nonnegative.

ExGaussian Peak (Exponentially Modified Gaussian Peak)

Image shown here

Equation shown here

a = AUC (area under the curve)

b = Location

c = Scale

d = Lambda

φ = the standard normal pdf

Pseudo-Voigt Peak

Image shown here

Equation shown here

d = Mixing Parameter

l(x) = evaluation of Lorentzian Peak function

g(x) = evaluation of Gaussian Peak function

Available only when the response values are nonnegative.

Pearson VII Peak

Image shown here

Equation shown here

a = Location

b = Scale

c = Shape

d = Peak Value

Available only when the response values are nonnegative.

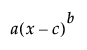
Lorentzian Peak

Image shown here

Equation shown here

a = Peak Value

b = Growth Rate

c = Critical Point

One Compartment Oral Dose

Image shown here

Image shown here

Equation shown here

a = Area Under Curve

b = Elimination Rate

c = Absorption Rate

Available only when the response values and the x values are all positive.

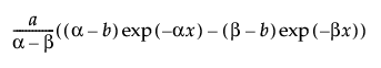
Two Compartment IV Bolus Dose

Image shown here

Image shown here

Equation shown here

α =Equation shown here

β =Equation shown here

a = Initial Concentration

b = Transfer Rate In

c = Transfer Rate Out

d = Elimination Rate

Available only when the response values and the x values are all positive.

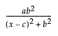
Michaelis-Menten

Image shown here

Equation shown here

a = Maximum Velocity

b = Michaelis Constant

Available only when the response values and the x values are all positive.

Inverse Michaelis-Menten

Image shown here

Equation shown here

a = Maximum Velocity

b = Michaelis Constant

Available only when the response values and the x values are all positive.

First Order Rate

Image shown here

Equation shown here

a = Initial Value

b = Rate Constant

Available only if the x values are nonnegative.

First Order with Limits

Image shown here

Equation shown here

a = Initial Value

b = Limiting Value

c = Rate Constant

Available only if the x values are nonnegative.

First Order with Equilibrium

Image shown here

Equation shown here

a = Initial Value

b = Forward Rate

c = Backward Rate

Available only if the x values are nonnegative.

Second Order

Image shown here

Equation shown here

a = Initial Value

b = Rate Constant

Available only if the x values are nonnegative.

Second Order with Two Components

Image shown here

Equation shown here

a = Initial value

b = Offset

c = Rate Constant

Available only if all x values are nonnegative.

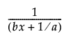
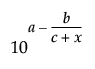
Antoine Equation

Image shown here

Equation shown here

a = Component Specific Constant

b = Component Specific Constant

c = Component Specific Constant

Available only when the response values are greater than 0.

The vertical asymptote is at 10a.

The horizontal asymptote is at c.

Higuchi

Image shown here

Equation shown here

a = Release Constant

Available only if all x and y values are nonnegative.

Higuchi with Lag

Image shown here

Equation shown here

a = Release Constant

b = Time Lag

Available only if all x and y values are nonnegative.

Higuchi with Burst

Image shown here

Equation shown here

a = Release Constant

b = Burst

Available only if all x and y values are nonnegative.

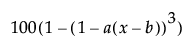
Hixson-Crowell

Image shown here

Equation shown here

a = Release Constant

Available only if all x and y values are nonnegative.

Hixson-Crowell with Lag

Image shown here

Equation shown here

a = Release Constant

Available only if all x and y values are nonnegative.

Korsmeyer-Peppas

Image shown here

Equation shown here

a = Release Constant

b = Diffusional Exponent

Available only if all x and y values are nonnegative.

Korsmeyer-Peppas with Lag

Image shown here

Equation shown here

a = Release Constant

b = Diffusional Exponent

c = Time Lag

Available only if all x and y values are nonnegative.

Korsmeyer-Peppas with Burst

Image shown here

Equation shown here

a = Release Constant

b = Diffusional Exponent

c = Burst

Available only if all x and y values are nonnegative.

Want more information? Have questions? Get answers in the JMP User Community (community.jmp.com).