For the latest version of JMP Help, visit JMP.com/help.


Publication date: 07/15/2025

Statistical Details for Competing Causes

For a competing cause model, a closed form for the aggregated distribution is defined as follows:

Equation shown here

where the Fi(x), i = 1, , k, are individual failure distributions corresponding to causes. Confidence limits are readily available, because all involved estimates are MLEs.

Specify a Fixed Parameter Model as a Distribution for a Cause

If a Fixed Parameter model is specified for a cause, you must fix the parameter in the Individual Causes report for that cause. Fix the parameter in the desired Parametric Estimate report in the Life Distribution - Failure Cause: <Name> report. The fixed parameter becomes part of the aggregated distribution when you click Update Model. See Example of Fitting a Fixed Parameter Competing Cause Model.

Specify a Bayesian Model for a Cause

The steps for specifying a Bayesian model for a cause are similar to those described in Specify a Fixed Parameter Model as a Distribution for a Cause. Define the model in the desired Bayesian Estimation report found in the corresponding Parametric Estimate outline under Statistics in the Life Distribution report for the individual cause. See Bayesian Estimation - <Distribution Name>.

To incorporate a Bayesian model into the aggregated model, non-Bayesian distributions for other causes must be amenable to a simulation-based framework. For example, suppose that a model has two failure causes. One is modeled using a Weibull distribution and the other using a Bayesian approach for estimating the parameters of a second Weibull. The parameters for the first Weibull distribution, denoted by the vector θ1, are estimated using maximum likelihood. The parameters for the second Weibull, θ2, are estimated using the Bayesian approach.

The quantiles and median of the aggregated mixture distribution, denoted F(x, θ1, θ2), are obtained as follows:

A parametric bootstrap is performed for the first Weibull, yielding random samples from the asymptotic distribution of the maximum likelihood estimate Equation shown here. Denote a sampled value from the asymptotic distribution of Equation shown here by Equation shown here.

A sample is drawn from the posterior distribution of θ2, denoted by Equation shown here.

For each set of values Equation shown here and Equation shown here, an estimate of F(x, θ1, θ2), denoted by F*(x, θ1, θ2), is obtained.

The values F*(x, θ1, θ2) are used to obtain estimates of the quantiles and median of the aggregated distribution. These are the values displayed in the Distribution profiler at a given value of x.

Specify a Weibayes Model for a Cause

The steps for specifying a Weibayes model for a cause are similar to those described in Specify a Fixed Parameter Model as a Distribution for a Cause. Select the Fix Parameter option in the Parametric Estimate - Weibull outline under Statistics in the Life Distribution report for the cause. In the Fix Parameter report, check the Weibayes option. The Weibayes model is treated as a Bayesian model and a bootstrap sample is drawn from the posterior distribution of the parameter alpha. See Liu and Wang (2013).

Mean Remaining Life Calculator

Use the Configuration option in the Mean Remaining Life Calculator red triangle menu to set a value for the number of simulated failure times used in computing the mean remaining life. Denote this value by m.

To obtain an estimate of the mean remaining life at time t, m samples are drawn from the aggregated distribution conditioned on survival to time t. Their average is computed.

To compute the confidence limits for the mean remaining life, you must select the box in the Configuration window. You then have the option to set the number of bootstrap samples. Denote this value by n.

To compute the confidence interval, n samples of parameter estimates are drawn from either the asymptotic distributions of the MLEs, or the posterior distributions derived using Bayesian inference. For each sample of parameter values, an aggregated distribution is formed, from which m samples are drawn to compute a mean remaining life. The samples of n mean remaining life values are used to construct the confidence interval.

Fit Mixture Save Predictions Formulas

This section gives the formulas used in calculating values in the columns saved by the Fit Mixture report option Save Predictions.

Consider the following notation:

Equation shown here is an estimate of the mixture proportion, wi

Equation shown here is the estimated probability distribution function Fi

Equation shown here is the estimated probability density function for Fi

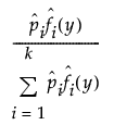
If the observation y is not censored, the saved value is given by the following:

Equation shown here

If the observation is censored, the saved value is obtained by replacing the estimated density values in the formula for an uncensored observation by the following:

Equation shown here for right censoring

Equation shown here for left censoring

Equation shown here for interval censoring

Want more information? Have questions? Get answers in the JMP User Community (community.jmp.com).