For the latest version of JMP Help, visit JMP.com/help.


Predictive and Specialized Modeling > Fit Curve > Statistical Details for the Fit Curve Platform > Statistical Details for Dissolution Curve Analysis
Publication date: 02/06/2025

Statistical Details for Dissolution Curve Analysis

This section contains the formulas to calculate the factors that are used in model-free dissolution analyses in the Fit Curve platform. The formulas use the following notation:

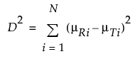
μRi is the mean of the dissolution values for the batch of reference curves at time point ti

μTi is the mean of the dissolution values for the batch of test curves at time point ti

i = 1, ..., N is the number of time points

F1 Difference Factor

The F1 difference factor measures the percent difference between the curves of the reference tablet and the curves of the test tablet at each time point. F1 is calculated using the following formula:

Equation shown here

F2 Similarity Factor

The F2 similarity factor measures the similarity of percent dissolution between the curves of the reference tablet and the curves of the test tablet. F2 is calculated using the following formula (Paixão et al. 2017):

Equation shown here

where:

Equation shown here

p is the number of time points

Mahalanobis Distance

The Mahalanobis distance M, measures the multivariate distance between the curves of the reference tablet and the curves of the test tablet. M is calculated using the following formula (Paixão et al. 2017):

Equation shown here

where:

R = [μR1,...,μRN]T

T = [μT1,...,μTN]T

Spooled = (SR + ST)/2

SR = covariance matrix of the reference curve values

ST = covariance matrix of the test curve values

The 10% maximum difference is calculated using the following formula:

Equation shown here

where m is an Nx1 vector of 10’s.

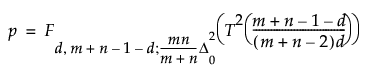
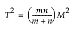
T2EQ

The test statistic, T2, for Wellek’s T2EQ method uses the Mahalanobis distance M, as calculated in Mahalanobis Distance.

Equation shown here

where:

m = the number of curves for the reference tablets

n = the number of curves for the test tablets

M = the Mahalanobis distance

The test statistic has a non-central F distribution. The p-value for the test statistic is calculated using the following formula (Hoffelder 2019):

Equation shown here

where:

Fs1, s2; nc(x) is the cumulative density function for a non-central F distribution

d = the number of time points in the study

Δ20 = the difference margin

This formula uses a difference margin of 10.

Want more information? Have questions? Get answers in the JMP User Community (community.jmp.com).