For the latest version of JMP Help, visit JMP.com/help.


Publication date: 02/06/2025

Optimality Criterion for Accelerated Life Tests

Consider an accelerated life test (ALT) to be conducted across at most three acceleration factors xi with Ji levels, respectively. The goal of test planning is to determine the number of samples to allocate to each combination of the factor levels.

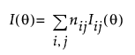
The computation of the optimality criterion depends on the overall Fisher information matrix from the individual level-specific information matrices

Equation shown here

as well as the inclusion of prior uncertainty S where appropriate.

Quantile Optimality

The quantile optimal design Dq is the design that minimizes the expression:

Equation shown here

where the vector c depends on the lowest use condition.

For the single use condition

Equation shown here

where zp is the pth quantile of the failure distribution.

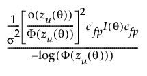
Failure Probability Optimality

The failure probability optimal design Df is the design that minimizes the expression:

Equation shown here

where zU(θ) is the standardized log-time at use conditions as defined in Quantile Optimality. cfp is similar to c as defined in Quantile Optimality except that the last entry is zU(θ). The quantity in the numerator is based on the asymptotic variance of logΦ(zU(θ)), where the log-transformation is used for numerical stability.

Want more information? Have questions? Get answers in the JMP User Community (community.jmp.com).