For the latest version of JMP Help, visit JMP.com/help.


Publication date: 07/15/2025

Statistical Details for Variance Formula Parameterization

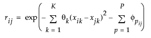
In the Gaussian Process platform, the saved variance formula uses the previously defined parameterization of R, except when the model includes categorical predictors. When the Gaussian Process model includes categorical predictors, the saved variance formula uses the following parameterization of R:

Equation shown here

where Equation shown here and all other variables are as previously defined.

Want more information? Have questions? Get answers in the JMP User Community (community.jmp.com).