For the latest version of JMP Help, visit JMP.com/help.


Publication date: 07/15/2025

Statistical Details for the Pearson Product-Moment Correlation

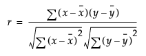
In the Multivariate platform, the Pearson product-moment correlation coefficient measures the strength of the linear relationship between two variables. For response variables X and Y, it is denoted as r and computed as follows:

Equation shown here

If there is an exact linear relationship between two variables, the correlation is 1 or –1, depending on whether the variables are positively or negatively related. If there is no linear relationship, the correlation tends toward zero.

Want more information? Have questions? Get answers in the JMP User Community (community.jmp.com).