For the latest version of JMP Help, visit JMP.com/help.


Quality and Process Methods > Process Capability > Statistical Details for the Process Capability Platform > Statistical Details for the Parameterizations of Distributions
Publication date: 07/15/2025

Statistical Details for the Parameterizations of Distributions

This section gives the density functions f for the distributions used in the Process Capability platform. It also gives expected values and variances for all but the Johnson and SHASH distributions.

Normal

Equation shown here, Equation shown here, Equation shown here, Equation shown here

E(X) = μ

Var(X) = σ2

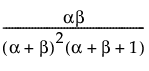
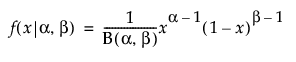
Beta

Equation shown here, Equation shown here, Equation shown here, Equation shown here

E(X) = Equation shown here

Var(X) = Equation shown here

where B(·) is the Beta function.

Exponential

Equation shown here, Equation shown here, Equation shown here

E(X) = σ

Var(X) = σ2

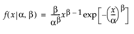
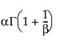
Gamma

Equation shown here, Equation shown here, Equation shown here, Equation shown here

E(X) = ασ

Var(X) = ασ2

where Γ(·) is the gamma function.

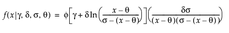
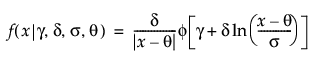
Johnson

Johnson Su

Equation shown here, Equation shown here, Equation shown here, Equation shown here

Johnson Sb

Equation shown here, Equation shown here, Equation shown here

Johnson Sl

Equation shown here, Equation shown here, Equation shown here

where φ(·) is the standard normal probability density function.

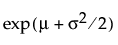
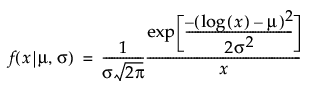
Lognormal

Equation shown here, Equation shown here, Equation shown here, Equation shown here

E(X) =Equation shown here

Var(X) =Equation shown here

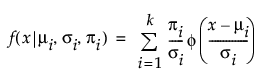
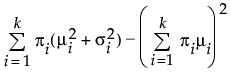
Mixture of Normals

The Mixture of 2 Normals and Mixture of 3 Normals options for Distribution share the following parameterization:

Equation shown here

E(X) =Equation shown here

Var(X) =Equation shown here

where μi, σi, and πi are the respective mean, standard deviation, and proportion for the ith group, and φ(·) is the standard normal probability density function. For the Mixture of 2 Normals, k is equal to 2. For the Mixture of 3 Normals distribution, k is equal to 3. A separate mean, standard deviation, and proportion of the whole is estimated for each group in the mixture.

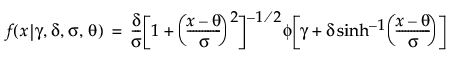
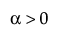
SHASH

Equation shown here, Equation shown here, 0 < δ, 0 < σ

where

φ(·) is the standard normal pdf

Equation shown here

Note: When γ = 0 and δ = 1, the SHASH distribution is equivalent to the normal distribution with location θ and scale σ.

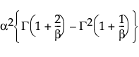
Weibull

Equation shown here, Equation shown here, Equation shown here

E(X) =Equation shown here

Var(X) =Equation shown here

where Γ(·) is the gamma function.

Want more information? Have questions? Get answers in the JMP User Community (community.jmp.com).