For the latest version of JMP Help, visit JMP.com/help.


Basic Analysis > Bivariate Analysis > Statistical Details for the Bivariate Platform > Statistical Details for the Fit Line Option
Publication date: 07/15/2025

Statistical Details for the Fit Line Option

In the Bivariate platform, the Fit Line option finds the parameters β0 and β1 for the straight line that fits the points to minimize the residual sum of squares. The model for the ith row is written yi = β0 + β1xi + εi.

The mean confidence limits for a linear fit are defined as follows:

Equation shown here

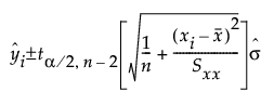
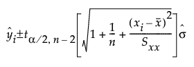
The individual confidence limits for a linear fit are defined as follows:

Equation shown here

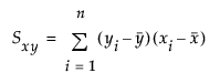
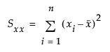
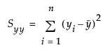
where

Equation shown here is the predicted value at xi, the ith observation

Equation shown here is the mean of the x variables

Equation shown here

Equation shown here

Equation shown here

Equation shown here

tα/2,n is the (α/2)th quantile of the central t-distribution with n–2 degrees of freedom

n is the sample size

Note: Use the Mean Confidence Limit Formula and the Individual Confidence Limit Formula options to save the limit formulas for any model fit to a new column in the data table. The formulas are saved in matrix formats.

Want more information? Have questions? Get answers in the JMP User Community (community.jmp.com).