For the latest version of JMP Help, visit JMP.com/help.


Basic Analysis > Bivariate Analysis > Statistical Details for the Bivariate Platform > Statistical Details for the Bivariate Normal Ellipse Report
Publication date: 07/15/2025

Statistical Details for the Bivariate Normal Ellipse Report

This section contains details for the Bivariate Normal Ellipse report in the Bivariate platform.

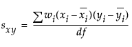
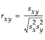
The Pearson correlation coefficient is denoted r, and is computed as follows:

Equation shown here where Equation shown here

where wi is either the weight of the ith observation if a weight column is specified, or 1 if no weight column is assigned.

Want more information? Have questions? Get answers in the JMP User Community (community.jmp.com).