For the latest version of JMP Help, visit JMP.com/help.


Basic Analysis > Distributions > Statistical Details for the Distribution Platform > Statistical Details for Standard Error Bars
Publication date: 07/15/2025

Statistical Details for Standard Error Bars

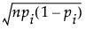
Standard error bars in the Distribution platform are calculated using the standard error Equation shown here where pi=ni / n.

Want more information? Have questions? Get answers in the JMP User Community (community.jmp.com).