For the latest version of JMP Help, visit JMP.com/help.


Publication date: 07/15/2025

Statistical Details for Spectral Density

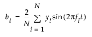
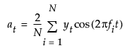
In the Time Series platform, the least squares estimates of the coefficients of the Fourier series are computed as follows:

Equation shown here

Equation shown here

Then the fi = i/N are combined to form the periodogram I(fi) = (N/2)(ai2 + bi2), which represents the intensity at frequency fi.

The periodogram is then smoothed and scaled by 1/(4π) to form the spectral density.

For more information, see Bloomfield (2004).

Want more information? Have questions? Get answers in the JMP User Community (community.jmp.com).