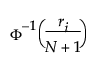
The normal quantile values in the Distribution platform are computed as follows:

where:
Φ is the cumulative probability distribution function for the normal distribution.
ri is the rank of the ith observation.
N is the number of nonmissing observations.