For the latest version of JMP Help, visit JMP.com/help.


Publication date: 07/15/2025

Statistical Details for Lenth’s Pseudo-Standard Error

The value for Lenth’s PSE is shown at the bottom of the Fit Two Level Screening report. Lenth’s method (Lenth 1989), known as the Lenth Pseudo Standard Error (PSE), constructs an estimate of the residual standard error using effects that appear to be inactive. Lenth’s PSE can be used to estimate the standard error for experiments where contrasts are independent and have a common variance.

If there are n rows, the platform constructs n - 1 contrasts. Denote these contrasts by Equation shown here, where i = 1, ... , n - 1.

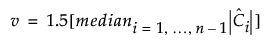
To obtain Lenth’s PSE, first calculate the following:

Equation shown here

Lenth’s PSE is based on the effects that are likely to be inactive and is defined as follows:

Equation shown here

Want more information? Have questions? Get answers in the JMP User Community (community.jmp.com).