For the latest version of JMP Help, visit JMP.com/help.


Publication date: 07/15/2025

Statistical Details for Degrees of Freedom Calculation

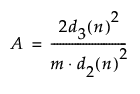
The degrees of freedom is calculated as df = 1/A - (3/16) * A + (3/64) * A2 + 0.25. A is defined as follows:

Equation shown here

where

d2(n) is the expected value of the range of n independent normally distributed variables with unit standard deviation

d3(n) is the standard deviation of the range of n independent normally distributed variables with unit standard deviation

For more information, see David (1951).

Want more information? Have questions? Get answers in the JMP User Community (community.jmp.com).