Use the Quality Explorer for Sigma Quality Level to explore relationships between the number of defects, number of opportunities for defects, and the Sigma Quality Level. The Sigma Quality Level is a statistic that relates a given defect rate to a six-sigma scale. For example, a defect rate of 3.4 per one million opportunities results in a six-sigma process. Select DOE > Sample Size Explorers > Quality > Sigma Quality Level.
The profiler enables you to visualize the impact of sample size assumptions on the sigma quality level calculations.
Solve for
Enables you to solve for the number of opportunities or defects.
Sigma Quality Level
The defect rate in standard deviation units.
Number of Opportunities
The number of opportunities for a defect.
Number of Defects
The number of defects.
The Explorer red triangle menu and report buttons provide additional options:
Simulate Data
Opens a data table of simulated data that are based on the explorer settings. View the simulated response column formula for the settings that are used.
Make Data Collection Table
Creates a new data table that you can use for data collection. The table includes scripts to facilitate data analysis.
Save Settings
Saves the current settings to the Saved Settings table. This enables you to save a set of alternative study plans. See Remembered Settings in the Sample Size Explorers.
Reset to Defaults
Resets all parameters and graphs to their default settings.
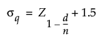
Calculations for the sigma quality calculator are based on the definition of sigma quality level σq for d defects in n opportunities:

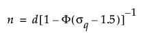
From this definition, d and n can be calculated as follows:


where Φ() is the standard normal cumulative distribution function and Z1-d/n is the (1 - d/n)th quantile from the standard normal distribution.