• X is the model matrix
• p is the number of terms, including the intercept, in the model
•
is the relative prediction variance at the point
. See “Relative Prediction Variance”.
The relative efficiency of the reference design (Ref) to the comparison design (Comp) is given by the following expressions:
D Efficiency
EffRef / EffComp, where Eff for each design is given as follows:

G Efficiency
EffComp / EffRef, where Eff for each design is given as follows:

Here, D denotes the design region.
Note: G-Efficiency is calculated using Monte Carlo sampling of the design space. The reported value is based on the larger of
or the prediction variance from the Monte Carlo sampling. Therefore, calculations for the same design might vary slightly.
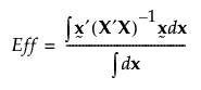
A Efficiency
EffComp / EffRef, where Eff for each design is given as follows:

I Efficiency
EffComp / EffRef, where Eff for each design is given as follows:

For more information about the calculation, see Section 4.3.5 in Goos and Jones (2011).