For the latest version of JMP Help, visit JMP.com/help.


Publication date: 07/15/2025

Rate Confidence Intervals

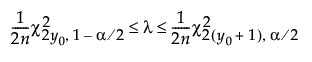
The confidence interval for a rate, λ, is defined as follows:

Equation shown here

where y0 is the frequency, n is the total cases, and Χ2 is the standard chi-squared critical value. Note that when y0 = 0, the lower limit is set to 0.

Want more information? Have questions? Get answers in the JMP User Community (community.jmp.com).