Use the Power for One Sample Mean Explorer to determine a sample size for a hypothesis test about one mean. Select DOE > Sample Size Explorers > Power > Power for One Sample Mean. Explore the trade-offs between variability assumptions, sample size, power, significance, and the hypothesized difference to detect. Sample size and power are associated with the following hypothesis test:

versus the two-sided alternative:

or versus a one-sided alternative:
or 
where μ is the true mean and μ0 is the null mean or reference value. The difference to detect is an amount, Δ, away from μ0 that one considers important to detect. For the same significance level and power, a larger sample size is needed to detect a small difference than to detect a large difference. It is assumed that the population of interest is normally distributed with mean μ and standard deviation σ.
Set study assumptions and explore sample sizes by using the radio buttons, text boxes, and menus. The profiler updates as you make changes to the settings. Alternatively, you can change the settings by dragging the cross hairs on the profiler curves.
Test Type
Specifies a one- or two-sided hypothesis test.
Alpha
Specifies the probability of a type I error, which is the probability of rejecting the null hypothesis when it is true. It is commonly referred to as the significance level of the test. The default alpha level is 0.05.
Population Standard Deviation Assumption
Specifies the distribution for calculations.
No
Specifies an unknown standard deviation; calculations use the t distribution. This is common.
Yes
Specifies a known standard deviation; calculations use the z distribution.
The profiler enables you to visualize the impact of sample size assumptions on the power calculations. Interactive profiler changes to the sample size, difference to detect, or standard deviation update the calculated power. Interactive changes to the profiler power update the sample size. To solve for a specific variable, use the target variable setting and click Go.
Target Variable
Enables you to solve for sample size, the difference to detect, or the standard deviation at a specified power.
Power
Specifies the probability of rejecting the null hypothesis when it is false. With all other parameters fixed, power increases as sample size increases.
Sample Size
Specifies the total number of observations (runs, experimental units, or samples) that are needed for your experiment.
Difference to Detect
Specifies the smallest difference between the true mean and the hypothesized or reference mean that you want to be able to declare statistically significant.
Std Dev
Specifies the assumed or known population standard deviation.
Tip: Use a standard deviation of 1 to estimate the sample size that is needed to detect differences that are measured in standard deviation units.
The Explorer red triangle menu and report buttons provide additional options:
Simulate Data
Opens a data table of simulated data that are based on the explorer settings. View the simulated response column formula for the settings that are used. Run the table script to analyze the simulated data.
Make Data Collection Table
Creates a new data table that you can use for data collection. The table includes scripts to facilitate data analysis.
Remember Settings
Saves the current settings to the Remembered Settings table. This enables you to save a set of alternative study plans. See Remembered Settings in the Sample Size Explorers.
Reset to Defaults
Resets all parameters and graphs to their default settings.
The Profiler red triangle menu contains the following option:
Optimization and Desirability
Enables you to optimize settings. See “Desirability Profiling and Optimization” in Profilers.
Note: The sample size explorer report can be saved as a *.jmpdoe file. Open the file to return to the explorer. An alert prompts you to save the file.
See Example of Sample Size Explorers.
The one sample mean calculations are based on the t test when σ is unknown and is estimated from sample data. For the case when σ is known, the calculations use the z test. For the case when σ is unknown, the power is calculated according to the alternative hypothesis.
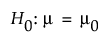
For a one-sided, higher alternative:

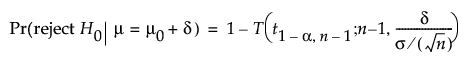
For a one-sided, lower alternative:

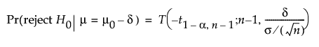
For a two-sided alternative:

where:
α is the significance level
n is the sample size
σ is the assumed population standard deviation
δ is the difference to detect
t1-α,ν is the (1 - α)th quantile of the central t-distribution with ν degrees of freedom
T(t; ν, λ) is the cumulative distribution function of the noncentral t distribution with ν degrees of freedom and noncentrality parameter λ.
When σ is known, the z distribution is used in the previous equations for the power calculations. Because closed-form solutions for δ and n do not exist, numerical routines are used to solve for them.