For the latest version of JMP Help, visit JMP.com/help.


Publication date: 07/15/2025

Populations

This section provides you with the estimate of the number of ancestral populations.

Scree Plot

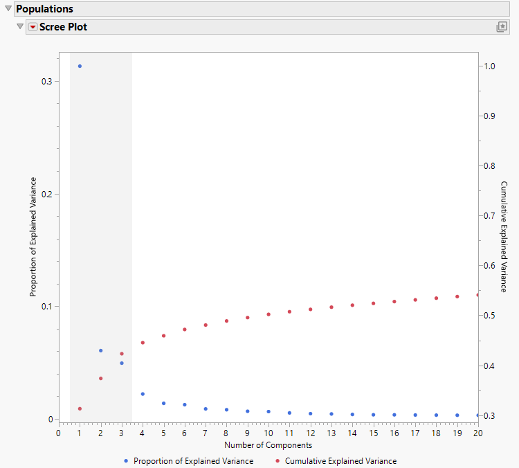
The scree plot contains two plots: the proportion of explained variance (blue dots) and the cumulative explained variance (red dots). X axis shows the number of components contributing to the variance. The important thing to note in both plots is the region where there is the greatest change in the vertical dimension. It is this region, reminiscent of an “elbow”, where the individual components exert the greatest influence on variation, that give us an indication of the number of ancestral populations.

Figure 6.8 The scree plot 

The scree plot

Examination of the scree plot above, shows that the region encompassed by the first three components (shaded) exhibit the greatest change in both the proportion of explained variance (blue dots) and the cumulative explained variance (red dots). components 4 and above have much less individual effects on the variance. This plot strongly infers the existence of three ancestral populations.

Want more information? Have questions? Get answers in the JMP User Community (community.jmp.com).