For the latest version of JMP Help, visit JMP.com/help.


Discovering JMP > Gallery of JMP Graphs
Publication date: 07/15/2025

Gallery of JMP Graphs

Various Graphs and Their Platforms

The following images show many of the graphs that you can create with JMP. Each picture is labeled with the platform that was used to create it.

Image shown here

Histogram

Analyze > Distribution

Image shown here

Bivariate

Analyze > Fit Y by X

Image shown here

Oneway

Analyze > Fit Y by X

Image shown here

Oneway t Test

Analyze > Fit Y by X

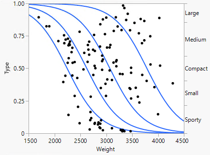
Image shown here

Logistic

Analyze > Fit Y by X

Image shown here

Mosaic Plot

Analyze > Fit Y by X

Image shown here

Matched Pairs

Analyze > Specialized Modeling > Matched Pairs

Image shown here

Leverage Plot

Analyze > Fit Model

Image shown here

LS Means Plot

Analyze > Fit Model

Image shown here

MANOVA

Analyze > Fit Model

Image shown here

Partition

Analyze > Predictive Modeling > Partition

Image shown here

Neural Diagram

Analyze > Predictive Modeling > Neural

Image shown here

Actual by Predicted

Analyze > Predictive Modeling > Model Comparison

Image shown here

Nonlinear Fit

Analyze > Specialized Modeling > Nonlinear

Image shown here

Surface Profiler

Analyze > Specialized Modeling > Gaussian Process

Image shown here

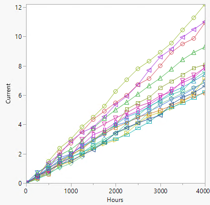
Time Series

Analyze > Specialized Modeling > Time Series

Image shown here

Screening

Analyze > Specialized Modeling > Specialized DOE Models > Fit Two Level Screening

Image shown here

FDR PValue Plot

Analyze > Screening > Response Screening

Image shown here

Scatterplot Matrix

Analyze > Multivariate Methods > Multivariate

Image shown here

Dendrogram

Analyze > Clustering > Hierarchical Cluster

Image shown here

Self-Organizing Map

Analyze > Clustering > K Means Cluster

Image shown here

Principal Components

Analyze > Multivariate Methods > Principal Components

Image shown here

Canonical Plot

Analyze > Multivariate Methods > Discriminant

Image shown here

Loadings Plot

Analyze > Multivariate Methods > Partial Least Squares

Image shown here

XBar and R Charts

Analyze > Quality and Process > Control Chart Builder

Image shown here

Average Chart

Analyze > Quality and Process > Measurement Systems Analysis

Image shown here

Variability Chart

Analyze > Quality and Process > Variability/Attribute Chart

Image shown here

Goal Plot

Analyze > Quality and Process > Process Capability

Image shown here

Individual Measurement Chart

Moving Range Chart

Analyze > Quality and Process > Control Chart > IR

Image shown here

XBar Chart

Analyze > Quality and Process > Control Chart > XBar

Image shown here

Pareto Plot

Analyze > Quality and Process > Pareto Plot

Image shown here

Ishikawa Chart

Fishbone Chart

Analyze > Quality and Process> Diagram

Image shown here

Compare Distributions

Analyze > Reliability and Survival > Life Distribution

Image shown here

Nonparametric Overlay

Analyze > Reliability and Survival > Fit Life by X

Image shown here

Scatterplot

Analyze > Reliability and Survival > Fit Life by X

Image shown here

MCF Plot

Analyze > Reliability and Survival > Recurrence Analysis

Image shown here

Overlay

Analyze > Reliability and Survival > Degradation

Image shown here

Prediction Interval

Analyze > Reliability and Survival > Destructive Degradation

Image shown here

Forecast

Analyze > Reliability and Survival > Reliability Forecast

Image shown here

Piecewise Weibull NHPP

Analyze > Reliability and Survival > Reliability Growth

Image shown here

Reliability Block Diagram

Analyze > Reliability and Survival > Reliability Block Diagram

Image shown here

Failure Plot

Analyze > Reliability and Survival > Survival

Image shown here

Survival Quantiles

Analyze > Reliability and Survival > Fit Parametric Survival

Image shown here

Baseline Survival

Analyze > Reliability and Survival > Fit Proportional Hazards

Image shown here

Mixture Profiler

Analyze > Consumer Research > Categorical

Image shown here

Factor Loading Plot

Analyze > Multivariate Methods > Factor Analysis

Image shown here

Prediction Profile

Analyze > Consumer Research > Choice

Image shown here

Characteristic Curves

Analyze > Multivariate Methods > Item Analysis

Image shown here

Multiple Correspondence Analysis

Analyze > Multivariate Methods > Multiple Correspondence Analysis

Image shown here

Uplift Model

Analyze > Consumer Research > Uplift

Image shown here

Dual Plot

Analyze > Multivariate Methods > Item Analysis

Image shown here

Line Graphs

Graph > Graph Builder

Image shown here

Box Plots

Graph > Graph Builder

Image shown here

Stacked Bar Chart

Graph > Graph Builder

Image shown here

Pie Chart

Graph > Graph Builder

Image shown here

Needle and Line Chart

Graph > Graph Builder

Image shown here

Smoother

Graph > Graph Builder

Image shown here

Three-Dimensional Scatterplot

Graph > Scatterplot 3D

Image shown here

Three-Dimensional Scatterplot

Graph > Scatterplot 3D

Image shown here

Contour Plot

Graph > Graph Builder

Image shown here

Bubble Plot

Graph > Bubble Plot

Image shown here

Parallel Plot

Graph > Graph Builder

Image shown here

Cell Plot

Graph > Cell Plot

Image shown here

Treemap

Graph > Graph Builder

Image shown here

Scatterplot Matrix

Graph > Scatterplot Matrix

Image shown here

Ternary Plot

Graph > Ternary Plot

Image shown here

Prediction Profiler

Graph > Profiler

Image shown here

Contour Profiler

Graph > Contour Profiler

Image shown here

Surface Plot

Graph > Surface Plot

Image shown here

Mixture Profiler

Graph > Mixture Profiler

Image shown here

Multidimensional Scaling

Analyze > Multivariate Methods > Multidimensional Scaling

Image shown here

MaxDiff

Analyze > Consumer Research > MaxDiff

Image shown here

Stress Patterns Plot

Analyze > Reliability and Survival > Cumulative Damage

Image shown here

Repairable Systems Simulation

Analyze > Reliability and Survival > Repairable Systems Simulation

Image shown here

Latent Class Analysis

Analyze > Clustering > Latent Class Analysis

Image shown here

Predictor Screening

Analyze > Screening > Predictor Screening

Image shown here

Process Screening

Analyze > Quality and Process > Process Screening

Image shown here

Text Explorer

Analyze > Text Explorer

Image shown here

Multiple Factor Analysis

Analyze > Consumer Research > Multiple Factor Analysis

Image shown here

Model-Driven Multivariate Control Chart

Analyze > Quality and Process > Model Driven Multivariate Control Chart

Image shown here

Structural Equation Models

Analyze > Multivariate Methods > Structural Equation Models

Image shown here

Support Vector Machines

Analyze > Predictive Modeling > Support Vector Machines

Want more information? Have questions? Get answers in the JMP User Community (community.jmp.com).