For the latest version of JMP Help, visit JMP.com/help.


Publication date: 07/15/2025

Frequencies

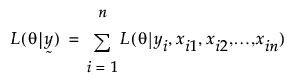
The impact of frequencies, including those with noninteger values, on an analysis is explained by their effect on the loss function. Suppose that you want to estimate the parameter θ using response values yi and predictors xi1, xi2,..., xin. Suppose that the loss function, assuming no frequency variable, is given by the following:

Equation shown here

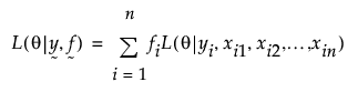
If frequencies fi are defined, then the loss function is:

Equation shown here

Calculations for all inference-base quantities, such as parameter estimates, standard errors, hypothesis tests, and confidence intervals, are based on this form of the loss function.

Want more information? Have questions? Get answers in the JMP User Community (community.jmp.com).