Use the Confidence Interval for Two Independent Sample Variances Explorer to determine a sample size for a confidence interval for the ratio of two variances. Select DOE > Sample Size Explorers > Confidence Intervals > Confidence Interval for Two Independent Sample Variances. Explore the trade-offs between sample size, significance, and the relative size your interval.
Set study assumptions and explore sample sizes by using the radio buttons, text boxes, and menus. The profiler updates as you make changes to the settings. Alternatively, you can change the settings by dragging the cross hairs on the profiler curves.
Interval Type
Specifies the type of interval. Specify a bound for a one-sided interval. Specify Interval for a two-sided interval.
Confidence Level
Specifies the confidence level, 1 - alpha.
The profiler enables you to visualize the impact of sample size assumptions on the margin of error calculations. Interactive profiler changes to a sample size update the calculated power. Interactive changes to the profiler power update the sample sizes. To solve for a specific sample size, use the target variable setting and click Go.
Target Variable
Enables you to solve for a sample size.
Relative Size
Specifies the width of the interval relative to the variance ratio. With all other parameters fixed, relative size increases as sample size increases.
Ratio of Group 2 to Group 1 Sample Size
Specifies the ratio between group sample sizes. For equal group sample sizes, set to one.
Note: The ratio can shift as you explore changes to the assumptions due to the mathematical search routines.
Total Sample Size
Specifies the total number of observations (runs, experimental units, or samples) that are needed for your confidence interval.
Group 1 Sample Size
Specifies the number of observations (runs, experimental units, or samples) that are needed for Group 1.
Group 2 Sample Size
Specifies the number of observations (runs, experimental units, or samples) that are needed for Group 2.
Note: Adjusting the total sample size adjusts the sample size in each group according to the ratio of sample size setting. Adjusting the sample size for one group adjusts the sample size in the other group holding the total sample size fixed.
The Explorer red triangle menu and report buttons provide additional options:
Simulate Data
Opens a data table of simulated data that are based on the explorer settings. View the simulated response column formula for the settings that are used. Run the table script to analyze the simulated data.
Make Data Collection Table
Creates a new data table that you can use for data collection. The table includes scripts to facilitate data analysis.
Remember Settings
Saves the current settings to the Remembered Settings table. This enables you to save a set of alternative study plans. See Remembered Settings in the Sample Size Explorers.
Reset to Defaults
Resets all parameters and graphs to their default settings.
The Profiler red triangle menu contains the following option:
Optimization and Desirability
Enables you to optimize settings. See “Desirability Profiling and Optimization” in Profilers.
Note: The sample size explorer report can be saved as a *.jmpdoe file. Open the file to return to the explorer. An alert prompts you to save the file.
In this example, use the Confidence Interval for Two Independent Variances Explorer to calculate the sample size that is needed to estimate the ratio of two group variances with a relative size of 2 with 95% confidence. The calculated sample size enables you to estimate a confidence interval for the ratio of the variances that is twice as wide as the ratio of the variances.
1. Select DOE > Sample Size Explorers > Confidence Intervals > Confidence Interval for Two Independent Sample Variances.
2. Leave Interval Type set to Interval for estimating a sample size for a two-sided confidence interval.
3. Leave Confidence Level set to 0.95.
4. Leave Target Variable set to Total Sample Size.
5. Set Relative Size to 2.
6. Leave Ratio of Group 1 to Group 2 Smaple Size to 1 for equal group sizes.
7. Click Go.
Figure 29.10 Two Independent Sample Variance Explorer
You need to collect 22 samples in each group to estimate a two-sided confidence interval for the ratio of the sample variances of width twice the ratio of the variances.
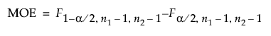
The interval calculations for capturing the ratio of two population variances is based on the F distribution. The margin of error (MOE) is calculated as follows:

The lower bound is calculated as follows:

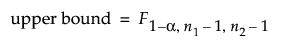
The upper bound is calculated as follows:
