Use the Confidence Interval for Two Independent Counts per Unit to determine a sample size for a confidence interval. Select DOE > Sample Size Explorers > Confidence Intervals > Confidence Interval for Two Independent Counts per Unit. Explore the trade-offs between sample size, significance, and the margin of error for your interval.
Set study assumptions and explore sample sizes by using the radio buttons, text boxes, and menus. The profiler updates as you make changes to the settings. Alternatively, you can change the settings by dragging the cross hairs on the profiler curves.
Interval Type
One-sided
Specifies one side of the interval (upper or lower bound).
Two-sided
Specifies a two-sided interval.
Preliminary Information
Alpha
Specifies the confidence level, 1 - Alpha. The default alpha level is 0.05 for a 95% confidence interval.
The profiler enables you to visualize the impact of sample size assumptions on the margin of error calculations.
Total Sample Size
Specifies the total number of observations (runs, experimental units, or samples) that are needed for your experiment. The margin of error curve is based on total sample size. Select Lock to lock the total sample size.
Solve for
Enables you to solve for a sample size or an assumed proportion.
Total Sample Size
Specifies the total number of observations (runs, experimental units, or samples) that are needed for your experiment.
Group 1 Sample Size
Specifies the number of observations (runs, experimental units, or samples) that are needed for Group 1 in your experiment.
Group 2 Sample Size
Specifies the number of observations (runs, experimental units, or samples) that are needed for Group 2 in your experiment.
Group 1 Counts per Unit
Specifies the assumed counts per unit for Group 1.
Group 2 Counts per Unit
Specifies the assumed counts per unit for Group 2.
Note: Adjusting the sample size for one group adjusts the total sample size unless the total sample size is locked. In that case, adjusting the sample size for one group adjust the sample size for the second group.
Simulate Data
Opens a data table of simulated data based on the explorer settings. View the simulated response column formula for the settings used.
Make Data Collection Table
Creates a new data table that you can use for data collection. The table includes scripts to facilitate data analysis.
Save Settings
Saves the current settings to the Saved Settings table. This enables you to save a set of alternative study plans. See Remembered Settings in the Sample Size Explorers.
Help
Opens JMP help.
The calculations for each interval type are based on the asymptotic normal distribution.
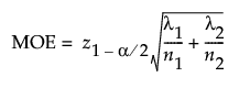
The margin of error (MOE) for a two-sided interval is calculated as follows:

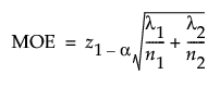
The MOE for a one-sided interval is calculated as follows:

where:
α is the significance level
n1 and n2 are the group sample sizes
λ1 and λ2 are the group defect counts per unit
z1-α is the (1 - α)th quantile of the distribution.
The Explorer red triangle menu and report buttons provide additional options:
Simulate Data
Opens a data table of simulated data that are based on the explorer settings. View the simulated response column formula for the settings that are used.
Make Data Collection Table
Creates a new data table that you can use for data collection. The table includes scripts to facilitate data analysis.
Save Settings
Saves the current settings to the Saved Settings table. This enables you to save a set of alternative study plans. See Remembered Settings in the Sample Size Explorers.
Reset to Defaults
Resets all parameters and graphs to their default settings.