For the latest version of JMP Help, visit JMP.com/help.


Publication date: 07/15/2025

Chi-Square Efficiency

In the Screening Design platform, main effects screening designs use a Chi-square criterion to achieve favorable balance across the factors. Suppose that a design has n runs and p factors corresponding to the columns of the design matrix.

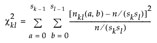
Denote the levels of factors k and l by a = 0, 1, , sk-1 and b = 0, 1, , sl-1 , respectively.

Denote the number of times that the combination of levels (a,b) appears in columns k and l by nkl(a,b).

A measure of the lack of orthogonality evidenced by columns k and l is given by the following expression:

Equation shown here

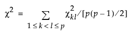
A measure of the average non-orthogonality of the design is given by this expression:

Equation shown here

The maximum possible value of χ2, denoted Equation shown here, is obtained. The chi-square efficiency of a design is defined as follows:

Equation shown here

Chi-square efficiency indicates how close χ2 is to zero, relative to a design in which pairs of levels show extreme lack of balance.

Want more information? Have questions? Get answers in the JMP User Community (community.jmp.com).