For the latest version of JMP Help, visit JMP.com/help.


Publication date: 02/06/2025

Statistical Details for XBar and S Charts

In Control Chart Builder, control limits for XBar and S charts are generated using the following formulas:

LCL for XBar chart = Equation shown here

UCL for XBar chart = Equation shown here

LCL for S chart = Equation shown here

UCL for S chart = Equation shown here

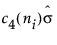
Center line for S chart: By default, the center line for the ith subgroup indicates an estimate of the expected value of si. This value is computed as Equation shown here, where Equation shown here is an estimate of σ.

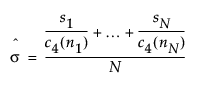
The estimate for the standard deviation for XBar and S charts is:

Equation shown here

where:

Equation shown here = weighted average of subgroup means

K = the sigma multiplier and is set to 3 by default

σ = process standard deviation

ni = sample size of ith subgroup

c4(n) is the expected value of the standard deviation of n independent normally distributed variables with unit standard deviation

c5(n) is the standard error of the standard deviation of n independent normally distributed variables with unit standard deviation

N is the number of subgroups for which ni ≥ 2

si is the sample standard deviation of the ith subgroup

Want more information? Have questions? Get answers in the JMP User Community (community.jmp.com).