For the latest version of JMP Help, visit JMP.com/help.


Publication date: 02/06/2025

Statistical Details for XBar and R Charts

In Control Chart Builder, control limits for XBar and R charts are generated using the following formulas:

LCL for XBar chart = Equation shown here

UCL for XBar chart = Equation shown here

LCL for R chart = Equation shown here

UCL for R chart = Equation shown here

Center line for R chart: By default, the center line for the ith subgroup indicates an estimate of the expected value of Ri. This value is computed as Equation shown here, where Equation shown here is an estimate of σ.

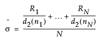
The standard deviation for XBar and R charts is estimated using the following formula:

Equation shown here

where:

Equation shown here = weighted average of subgroup means

K = the sigma multiplier and is set to 3 by default

σ = process standard deviation

ni = sample size of ith subgroup

d2(n) is the expected value of the range of n independent normally distributed variables with unit standard deviation

d3(n) is the standard deviation of the range of n independent normally distributed variables with unit standard deviation

Ri is the range of ith subgroup

N is the number of subgroups for which ni ≥ 2.

Want more information? Have questions? Get answers in the JMP User Community (community.jmp.com).