For the latest version of JMP Help, visit JMP.com/help.


Quality and Process Methods > Legacy Control Charts > Statistical Details for Legacy Control Charts > Statistical Details for Weighted Moving Average Charts
Publication date: 02/06/2025

Statistical Details for Weighted Moving Average Charts

This section describes how control limits are calculated in legacy weighted moving average charts.

Control Limits for UWMA Charts

Control limits for UWMA charts are computed for each subgroup i as follows:

LCLi = Equation shown here

UCLi = Equation shown here

where:

w is the span parameter (number of terms in moving average)

ni is the sample size of the ith subgroup

k is the number of standard deviations

Equation shown here is the weighted average of the subgroup means

Equation shown here is the estimated process standard deviation

Control Limits for EWMA Charts

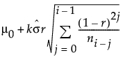
Control limits for EWMA charts are computed as follows:

LCL = Equation shown here

UCL = Equation shown here

where:

r is the EWMA weight parameter (0 < r 1)

xij is the jth measurement in the ith subgroup, with j = 1, 2, 3,..., ni

ni is the sample size of the ith subgroup

k is the number of standard deviations

Equation shown here is the weighted average of the subgroup means

Equation shown here is the estimated process standard deviation

Want more information? Have questions? Get answers in the JMP User Community (community.jmp.com).