For the latest version of JMP Help, visit JMP.com/help.


Publication date: 02/06/2025

Statistical Details for V-Mask CUSUM Control Charts

The following notation is used in these formulas:

μ denotes the mean of the population, also referred to as the process mean or the process level.

μ0 denotes the target mean (or goal) for the population. Sometimes, the symbol Equation shown here is used for μ0. See the American Society for Quality Statistics Division (2004). You can provide μ0 as the Target in the Known Statistics for CUSUM Chart area on the launch window.

σ denotes the population standard deviation. Equation shown here denotes an estimate of σ.

σ0 denotes a known standard deviation. You can provide σo as the Sigma in the Known Statistics for CUSUM Chart area on the launch window.

n denotes the nominal sample size for the CUSUM chart.

δ denotes the shift in μ to be detected, expressed as a multiple of the standard deviation. You can provide δ as the Delta in the Known Statistics for CUSUM Chart area on the launch window.

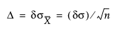
Δ denotes the shift in μ to be detected, expressed in data units. If the sample size n is constant across subgroups, then the following computation applies:

Equation shown here

You can provide Δ as the Shift in the Known Statistics for CUSUM Chart area on the launch window.

Note: Some authors use the symbol D instead of Δ.

One-Sided CUSUM Charts

Positive Shifts

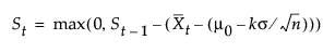
If the shift δ to be detected is positive, the CUSUM for the tth subgroup is computed as follows:

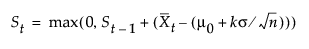
St = max(0, St – 1+ (ztk))

t = 1, 2,..., n, where S0 = 0, zt is defined as for two-sided charts, and the parameter k, termed the reference value, is positive. If the parameter k is not specified in the launch window, k is set to δ/2. The CUSUM St is referred to as an upper cumulative sum. St can be computed as follows:

Equation shown here

The sequence St cumulates deviations in the subgroup means greater than k standard errors from μ0. If St exceeds a positive value h (referred to as the decision interval), a shift or out-of-control condition is signaled.

Negative Shifts

If the shift to be detected is negative, the CUSUM for the tth subgroup is computed as follows:

St = max(0, St – 1 – (zt + k))

t = 1, 2,..., n, where S0 = 0, zt is defined as for two-sided charts, and the parameter k, termed the reference value, is positive. If the parameter k is not specified in the launch window, k is set to δ/2. The CUSUM St is referred to as a lower cumulative sum. St can be computed as follows:

Equation shown here

The sequence St cumulates the absolute value of deviations in the subgroup means less than k standard errors from μ0. If St exceeds a positive value h (referred to as the decision interval), a shift or out-of-control condition is signaled.

Note that St is always positive and h is always positive, regardless of whether δ is positive or negative. For charts designed to detect a negative shift, some authors define a reflected version of St for which a shift is signaled when St is less than a negative limit.

Lucas and Crosier (1982) describe the properties of a fast initial response (FIR) feature for CUSUM charts in which the initial CUSUM S0 is set to a “head start” value. Average run length calculations given by them show that the FIR feature has little effect when the process is in control and that it leads to a faster response to an initial out-of-control condition than a standard CUSUM chart. You can provide a Head Start value in the Known Statistics for CUSUM Chart area on the launch window.

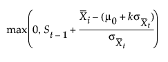
Constant Sample Sizes

When the subgroup sample sizes are constant (= n), it might be preferable to compute CUSUMs that are scaled in the same units as the data. CUSUMs are then computed as follows:

Equation shown here

where δ > 0

Equation shown here

where δ < 0. In either case, the parameter k is rescaled to Equation shown here. If the parameter k is not specified in the launch window, k' is set to δ/2. A shift is signaled if St exceeds Equation shown here. Some authors use the symbol H for h'.

Two-Sided CUSUM Charts

If the CUSUM chart is two-sided, the cumulative sum St plotted for the tth subgroup is defined as follows:

St = St - 1 +zt

t = 1, 2,..., n. Here S0=0, and the term zt is calculated as follows:

Equation shown here

where Equation shown here is the tth subgroup average, and nt is the tth subgroup sample size. If the subgroup samples consist of individual measurements xt, the term zt simplifies to the following computation:

zt = (xtμ0)/σ

The first equation can be rewritten as follows:

Equation shown here

where the sequence St cumulates standardized deviations of the subgroup averages from the target mean μ0.

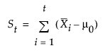
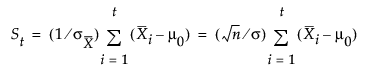
In many applications, the subgroup sample sizes ni are constant (ni = n), and the equation for St can be simplified:

Equation shown here

In some applications, it might be preferable to compute St as follows:

Equation shown here

which is scaled in the same units as the data. In this case, the procedure rescales the V-mask parameters h and k to Equation shown here and Equation shown here, respectively. Some authors use the symbols F for k' and H for h'.

If the process is in control and the mean μ is at or near the target μ0, the random walk model applies. Therefore, the points might wander away from zero, but they will not exhibit a large trend since positive and negative displacements from μ0 tend to cancel each other. If μ shifts in the positive direction, the points exhibit an upward trend, and if μ shifts in the negative direction, the points exhibit a downward trend.

Want more information? Have questions? Get answers in the JMP User Community (community.jmp.com).