For the latest version of JMP Help, visit JMP.com/help.


Publication date: 02/06/2025

Statistical Details for Variation Statistics

The Process Capability platform provides two types of capability indices. The Ppk indices are based on an estimate of σ, the standard deviation of a process, that uses all of the data in a way that does not depend on subgroups. This overall estimate can reflect special cause as well as common cause variation. The Cpk indices are based on an estimate that attempts to capture only common cause variation. The Cpk indices are constructed using within-subgroup or between-and-within-subgroup estimates of σ. In this way, they attempt to reflect the true process standard deviation. When a process is not stable, the different estimates of σ can differ markedly.

Overall Sigma

The overall sigma does not depend on subgroups. The overall estimate of σ is calculated as follows:

Equation shown here

The formula uses the following notation:

N = number of nonmissing values in the entire data set

yi = value of the ith observation

Equation shown here = mean of nonmissing values in the entire data set

Caution: When the process is stable, the Overall Sigma estimates the process standard deviation. If the process is not stable, the overall estimate of σ is of questionable value, since the process standard deviation is unknown.

Estimates of Sigma Based on Within-Subgroup Variation

An estimate of σ that is based on within-subgroup variation can be constructed in one of the following ways:

Within sigma estimated by average of ranges

Within sigma estimated by average of unbiased standard deviations

Within sigma estimated by moving range

Within sigma estimated by unbiased pooled standard deviation

If you specify a subgroup ID column or a constant subgroup size on the launch window, you can specify your preferred within-subgroup variation statistic. See Launch the Process Capability Platform. If you do not specify a subgroup ID column, a constant subgroup size, or a historical sigma, JMP estimates the within sigma using the third method (moving range of subgroups of size two).

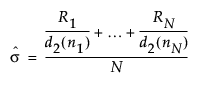
Within Sigma Based on Average of Ranges

Within sigma estimated by the average of ranges is the same as the estimate of the standard deviation of an XBar and R chart:

Equation shown here

The formula uses the following notation:

Ri = range of ith subgroup

ni = sample size of ith subgroup

d2(ni) = expected value of the range of ni independent normally distributed variables with unit standard deviation

N = number of subgroups for which ni ≥ 2

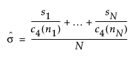
Within Sigma Based on Average of Unbiased Standard Deviations

Within sigma estimated by the average of unbiased standard deviations is the same as the estimate for the standard deviation in an XBar and S chart:

Equation shown here

The formula uses the following notation:

ni = sample size of ith subgroup

c4(ni) = expected value of the standard deviation of ni independent normally distributed variables with unit standard deviation

N = number of subgroups for which ni ≥ 2

si = sample standard deviation of the ith subgroup

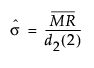
Within Sigma Based on Average Moving Range

Within sigma estimated by average moving range is the same as the estimate for the standard deviation for Individual Measurement and Moving Range charts:

Equation shown here

The formula uses the following notation:

Equation shown here = the mean of the nonmissing moving ranges computed as (MR2+MR3+...+MRN)/(N-1) where MRi = |yi - yi-1|.

d2(2) = expected value of the range of two independent normally distributed variables with unit standard deviation.

Within Sigma Based on Median Moving Range

Within sigma estimated by median moving range:

Equation shown here

The formula uses the following notation:

MMR = the median of the nonmissing moving ranges computed as Median(MR2, MR3,..., MRN) where MRi = |yi - yi-1|.

Within Sigma Based on Unbiased Pooled Standard Deviation

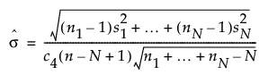
Within sigma estimated by the unbiased pooled standard deviation:

Equation shown here

The formula uses the following notation:

ni = sample size of ith subgroup

n = n1 + + nN, the total sample size

c4(·) = expected value of the standard deviation of (·) independent normally distributed variables with unit standard deviation

N = number of subgroups for which ni ≥ 2

si = sample standard deviation of the ith subgroup

Estimate of Sigma Based on Between Group Variation

Between Sigma Based on Moving Range

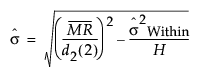
The estimate of σ that is based on between-subgroup variation is estimated by the moving range of subgroup means:

Equation shown here

The formula uses the following notation:

Equation shown here = the mean of the nonmissing moving ranges computed as (MR2+MR3+...+MRN)/(N-1) where MRi = |yi - yi-1|.

d2(2) = expected value of the range of two independent normally distributed variables with unit standard deviation.

σ2within = the specified within sigma estimate.

Equation shown here, the harmonic mean of subgroup sample sizes.

Estimate of Sigma Based on Between and Within Group Variation

Between-and-Within Sigma

The estimate of sigma that is based on the combined between and within group variation is defined as follows:

Equation shown here

Want more information? Have questions? Get answers in the JMP User Community (community.jmp.com).