For the latest version of JMP Help, visit JMP.com/help.


Publication date: 02/06/2025

Statistical Details for the Odds Ratio

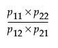
In the Contingency platform, the Odds Ratio is calculated as follows:

Equation shown here

where pij is the count in the ith row and jth column of the 2 x 2 table.

Want more information? Have questions? Get answers in the JMP User Community (community.jmp.com).