For the latest version of JMP Help, visit JMP.com/help.


Publication date: 02/06/2025

Statistical Details for the Logistic Regression Model

This section contains details for the logistic regression models fit in the Fit Model platform.

Logistic regression fits nominal Y responses to a linear model of X terms. To be more precise, it fits probabilities for the response levels using a logistic function. For two response levels, the function is:

Equation shown here where r1 is the first response level

or equivalently:

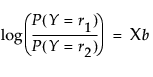
Equation shown here where r1 and r2 are the two responses levels, respectively

Note: When Y is binary and has a nominal modeling type, you can set the Target Level in the Fit Model window to specify the level whose probability you want to model. In this section, the target level is designated as r1.

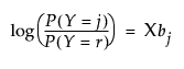
For r nominal response levels, where r > 2, the model is defined by r 1 linear model parameters of the following form:

Equation shown here

The fitting principal of maximum likelihood means that the βs are chosen to maximize the joint probability attributed by the model to the responses that did occur. This fitting principal is equivalent to minimizing the negative log-likelihood (–LogLikelihood):

Equation shown here

Want more information? Have questions? Get answers in the JMP User Community (community.jmp.com).