For the latest version of JMP Help, visit JMP.com/help.


Publication date: 02/06/2025

Image shown hereStatistical Details for the Gradient Descent Algorithm

The Kullback-Leibler divergence used in the t-SNE method is minimized using a gradient descent algorithm based on the Barnes-Hut approximation (van der Maaten, 2014). The algorithm uses the following notation:

X = {x1, x2,..., xn} the original high-dimensional data with n data points

p = the perplexity parameter

T = the number of iterations

η = the learning rate

tinflate = the number of iterations after which the momentum value changes

α(t) = the momentum at iteration t, where α(t) = 0.5 for t tinflate and α(t) = 0.8 otherwise

Y(t) = {y1, y2,..., yn} the low-dimensional mapping solution at iteration t

The steps of the gradient descent algorithm are defined as follows:

1. Compute pj|i, the pairwise similarities in the high-dimensional space. Choose σi based on the specified perplexity p.

2. Calculate pij.

3. Set the initial solution Y(0) = {y1, y2,..., yn}, which is generated from a normal distribution with mean 0 and standard deviation 10-4.

4. For t = 1 to T:

Compute qij, the pairwise similarities in the low-dimensional mapping.

Compute the cost function:

Equation shown here

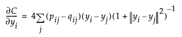
Compute the gradient function, using the Barnes-Hut approximation:

Equation shown here

Update the solution:

Equation shown here

The algorithm stops when one of the following conditions is met:

The maximum gradient value over i is less than the convergence criterion specified in the launch window.

The maximum number of iterations, T, is reached.

Want more information? Have questions? Get answers in the JMP User Community (community.jmp.com).