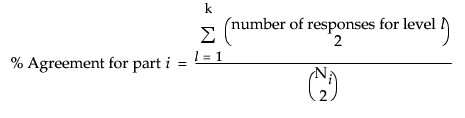
In the Gauge Attribute chart that plots all X, Grouping variables on the horizontal axis, the percent Agreement is calculated as follows:

In the Gauge Attribute chart that plots all Y, Response variables on the horizontal axis, the percent Agreement is calculated as follows:

Note the following:
• n = number of parts (grouping variables)
• ri = number of reps for part i (i = 1,...,n)
• m = number of raters
• k = number of levels
• Ni = m x ri. Number of ratings on part i (i = 1,...,n). This includes responses for all raters, and repeat ratings on a part. For example, if part i is measured 3 times by each of 3 raters, then Ni is 3 x 3 = 9.
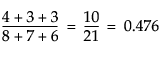
For example, consider the following table of data for three raters, each having three replicates for one part.
|
|
A |
B |
C |
|---|---|---|---|
|
1 |
1 |
1 |
1 |
|
2 |
1 |
1 |
0 |
|
3 |
0 |
0 |
0 |
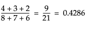
Using this table, you can make these calculations:
% Agreement =
% Agreement [rater A] = percent Agreement [rater B] =
and
% Agreement [rater C] =