For the latest version of JMP Help, visit JMP.com/help.


Basic Analysis > Bivariate Analysis > Statistical Details for the Bivariate Platform > Statistical Details for the Fit Polynomial Option
Publication date: 02/06/2025

Statistical Details for the Fit Polynomial Option

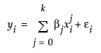
A polynomial of degree 2 is a parabola; a polynomial of degree 3 is a cubic curve. For degree k, the model for the ith row is defined as follows:

Equation shown here

where

Equation shown here is the response value at xi, the ith observation

βj is the jth parameter

k is the degree of the polynomial

εi is the error term for the model

Want more information? Have questions? Get answers in the JMP User Community (community.jmp.com).