For the latest version of JMP Help, visit JMP.com/help.


Publication date: 02/06/2025

Statistical Details for the Discrimination Ratio

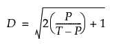
In the Variability Chart platform, the discrimination ratio compares the total variance of the measurement, M, with the variance of the measurement error, E. The discrimination ratio is computed for all main effects, including nested main effects. The discrimination ratio, D, is computed as follows:

Equation shown here

where:

P = estimated variance for a factor

T = estimated total variance

Want more information? Have questions? Get answers in the JMP User Community (community.jmp.com).