For the latest version of JMP Help, visit JMP.com/help.


Publication date: 02/06/2025

Statistical Details for the Agreement Report

In the Attribute Gauge Chart platform, the simple Kappa coefficient is reported. The simple Kappa coefficient is a measure of inter-rater agreement.

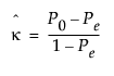
Equation shown here

where:

Equation shown here

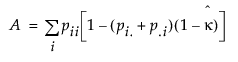
and:

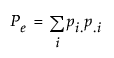
Equation shown here

P0 is the observed proportion of agreement between two rating systems across all parts and Pe is the expected agreement by chance between two rating systems across all parts.

If you view the two response variables as two independent ratings of the n parts, the Kappa coefficient equals +1 when there is complete agreement of the raters. When the observed agreement exceeds chance agreement, the Kappa coefficient is positive, and its magnitude reflects the strength of agreement. Although unusual in practice, Kappa is negative when the observed agreement is less than the chance agreement. The minimum value of Kappa is between -1 and 0, depending on the marginal proportions.

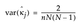
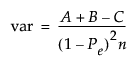
Estimate the asymptotic variance of the simple Kappa coefficient with the following equation:

Equation shown here

where:

Equation shown here

Equation shown here

and:

Equation shown here

The Kappas are plotted and the standard errors are also given.

Note: The Kappa statistics in the Attribute Chart platform are shown even when the levels of the variables are unbalanced.

Categorical Kappa statistics (Fleiss 1981) are found in the Agreement Across Categories report.

Given the following assumptions:

n = number of parts (grouping variables)

m = number of raters

k = number of levels

ri = number of reps for part i (i = 1,...,n)

Ni = m x ri. Number of ratings on part i (i = 1, 2,...,n). This includes responses for all raters, and repeat ratings on a part. For example, if part i is measured 3 times by each of 2 raters, then Ni is 3 x 2 = 6.

xij = number of ratings on part i (i = 1, 2,...,n) into level j (j = 1, 2,...,k)

The individual category Kappa is defined as follows:

Equation shown here

The overall Kappa is defined as follows:

Equation shown here

The variance of Equation shown here and Equation shown here are calculated as follows:

Equation shown here

Equation shown here

The standard errors of Equation shown here and Equation shown here are shown only when there are an equal number of ratings per part (for example, Ni = N for all i = 1,…,n).

Want more information? Have questions? Get answers in the JMP User Community (community.jmp.com).