For the latest version of JMP Help, visit JMP.com/help.


Basic Analysis > Oneway Analysis > Statistical Details for the Oneway Platform > Statistical Details for Tests That the Variances Are Equal
Publication date: 02/06/2025

Statistical Details for Tests That the Variances Are Equal

This section contains details for the Tests That the Variances Are Equal report in the Oneway platform.

F Ratio

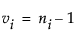
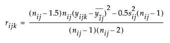
O’Brien’s test constructs a dependent variable so that the group means of the new variable equal the group sample variances of the original response. The O’Brien variable is computed as follows:

Equation shown here

where n represents the number of yijk observations.

Brown-Forsythe is the model F statistic from an ANOVA on Equation shown here where Equation shown here is the median response for the ith level.

The Levene F is the model F statistic from an ANOVA on Equation shown here where Equation shown here is the mean response for the ith level.

Bartlett’s test is calculated as follows:

Equation shown here where Equation shown here andEquation shown here

and ni is the count on the ith level and si2 is the response sample variance on the ith level. The Bartlett statistic has a χ2-distribution. Dividing the Chi-square test statistic by the degrees of freedom results in the reported F value.

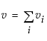
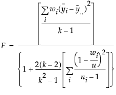
Welch’s Test F Ratio

The Welch’s Test F Ratio is computed as follows:

Equation shown here where Equation shown here, Equation shown here, Equation shown here,

and ni is the count on the ith level, Equation shown here is the mean response for the ith level, and si2 is the response sample variance for the ith level.

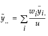
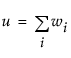
Welch’s Test DF Den

The Welch approximation for the denominator degrees of freedom is defined as follows:

Equation shown here

where wi, ni, and u are defined as in the F ratio formula.

Want more information? Have questions? Get answers in the JMP User Community (community.jmp.com).