For the latest version of JMP Help, visit JMP.com/help.


Basic Analysis > Distributions > Statistical Details for the Distribution Platform > Statistical Details for Score Confidence Intervals
Publication date: 02/06/2025

Statistical Details for Score Confidence Intervals

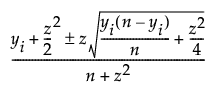
The Distribution platform computes score confidence intervals for the probabilities in each level of a categorical response variable. For each level of the response, the score confidence intervals are defined as follows:

Equation shown here

where:

yi is the number of observations in the ith level of the response

n is the overall number of observations

z is the (α/2)th quantile of the standard normal distribution

See Agresti and Coull (1998).

Want more information? Have questions? Get answers in the JMP User Community (community.jmp.com).