For the latest version of JMP Help, visit JMP.com/help.


Quality and Process Methods > Control Chart Builder > Statistical Details for Control Chart Builder > Statistical Details for P, NP, and Laney P′ Charts
Publication date: 02/06/2025

Statistical Details for P, NP, and Laney P′ Charts

In Control Chart Builder, the lower and upper control limits, LCL, and UCL, respectively, are computed using the following formulas:

P chart LCL = Equation shown here

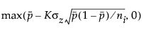
P chart UCL = Equation shown here

NP chart LCL = Equation shown here

NP chart UCL = Equation shown here

Laney P chart LCL = Equation shown here

Laney P chart UCL = Equation shown here

where:

Equation shown here is the average proportion of nonconforming items taken across subgroups

Equation shown here

ni is the number of items in the ith subgroup

K is the sigma multiplier and is set to 3 by default

σz is a moving range sigma calculated from the standardized values

Want more information? Have questions? Get answers in the JMP User Community (community.jmp.com).