For the latest version of JMP Help, visit JMP.com/help.


Publication date: 02/06/2025

Statistical Details for Nonlinear Models

This section describes the type of model used in the Nonlinear Design platform. Denote the vector of n responses by Y = (Y1, Y2, ..., Yn)‘. A nonlinear model is defined by the following properties:

The Yi are independent and identically distributed with an exponential family distribution.

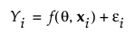
The expected value of each Yi given a vector of predictor values xi is a nonlinear function of parameters, θ. Denote this function as follows:

Equation shown here

Each Yi is expressed as follows:

Equation shown here

The vector of errors, ε = (ε1, ε2, ..., εn)‘ has mean 0 and covariance matrix σ2I, where I is the n x n identity matrix.

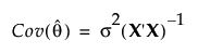
Denote the matrix of first partial derivatives of the function f with respect to the parameters θ by X. Under general conditions, the least squares estimator of θ is asymptotically unbiased. The asymptotic covariance matrix is as follows:

Equation shown here

For the proof of this result, see Wu (1981) and Jennrich (1969).

Want more information? Have questions? Get answers in the JMP User Community (community.jmp.com).