For the latest version of JMP Help, visit JMP.com/help.


Publication date: 02/06/2025

Statistical Details for Multivariate Tests

In the following, E is the residual cross product matrix and H is the model cross product matrix. Diagonal elements of E are the residual sums of squares for each variable. Diagonal elements of H are the sums of squares for the model for each variable. In the discriminant analysis literature, E is often called W, where W stands for within.

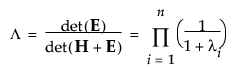
Test statistics in the multivariate results tables are functions of the eigenvalues λ of Equation shown here. The following list describes the computation of each test statistic.

Note: After specification of a response design, the initial E and H matrices are premultiplied by M and postmultiplied by M.

Wilks’ Lambda

Equation shown here

Pillai’s Trace

Equation shown here

Hotelling-Lawley Trace

Equation shown here

Roy’s Max Root

Equation shown here, the maximum eigenvalue of Equation shown here.

E and H are defined as follows:

Equation shown here

Equation shown here

where b is the estimated vector for the model coefficients and A- denotes the generalized inverse of a matrix A.

The whole model L is a column of zeros (for the intercept) concatenated with an identity matrix having the number of rows and columns equal to the number of parameters in the model. L matrices for effects are subsets of rows from the whole model L matrix.

Want more information? Have questions? Get answers in the JMP User Community (community.jmp.com).