For the latest version of JMP Help, visit JMP.com/help.


Publication date: 02/06/2025

Statistical Details for Limits

In the Model Driven Multivariate Control Chart platform, all data are treated as historical data when the number of historical rows is not specified in the launch window. See Launch the Model Driven Multivariate Control Chart Platform.

T2

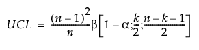
The upper control limit (UCL) for historical data is based on the Beta distribution and defined as:

Equation shown here

where:

n = number of historical data observations

k = number of PCA or PLS components

Equation shown here = (1−α)th quantile of a BetaEquation shown here distribution.

The UCL for current data is based on the F distribution and defined as:

Equation shown here

where:

n = number of historical data observations

k = number of PCA or PLS components

F(1−α; k; nk) = (1−α)th quantile of an F(k; nk) distribution.

DModX

For PCA and PLS models, the UCL is based on the F distribution. The DModX UCL for PCA models is defined as:

Equation shown here

where:

df1 = pk

df2 = (nk−1)(pk) if the data is centered and (nk)(pk) if the data is not centered

n = number of historical data observations

k = number of PCA components

p = number of variables

F(1−α; np−1; pk) = (1−α)th quantile of a F(np−1; pk) distribution.

The DModX UCL for PLS models is defined as:

Equation shown here

where:

Equation shown here

Equation shown here = historical sample mean of SPE

Equation shown here = historical sample variance of SPE

n = number of historical data observations

F(1−α; h; nh) = (1−α)th quantile of an F(h; nh) distribution.

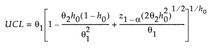
SPE

The SPE UCL for PCA models is defined as:

Equation shown here

where:

Equation shown here

λa = the ath eigenvalue

k = number of PCA components

z1−α = (1−α)th quantile of the standard normal distribution

For more information about SPE control limits for PCA models, see Jackson and Mudholkar (1979).

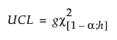
For PLS models, the UCL is based on the chi-square distribution and defined as:

Equation shown here

where

Equation shown here

Equation shown here

Equation shown here = historical sample mean of SPE

Equation shown here = historical sample variance of SPE

χ2(1−α; h) = (1−α)th quantile of an χ2(h) distribution

The g and h parameters are estimated by the method of moments. For more information about SPE control limits for PLS models, see Nomikos (1995).

Want more information? Have questions? Get answers in the JMP User Community (community.jmp.com).