For the latest version of JMP Help, visit JMP.com/help.


Publication date: 02/06/2025

Statistical Details for G Charts

In Control Chart Builder, the negative binomial distribution is used to calculate the sigma value for a G chart. The negative binomial distribution is an extension of the geometric (Poisson) distribution and allows for overdispersion relative to the Poisson. The negative binomial distribution can be used to construct both exact and approximate control limits for count data. Approximate control limits can be obtained based on a chi-square approximation to the negative binomial. All data is used as individual observations regardless of subgroup size.

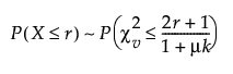
Let X have a negative binomial distribution with parameters (μ, k). Then:

Equation shown here

where:

Equation shown here is a chi-square variate with v = 2μ/(1+μk) degrees of freedom.

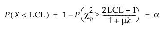
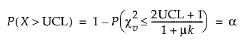
Based on this approximation, approximate upper and lower control limits can be determined. For a nominal level α Type 1 error probability in one direction, an approximate upper control limit is a limit UCL such that the following equation is true:

Equation shown here

Likewise, an approximate lower control limit, LCL, is a limit such that the following equation is true:

Equation shown here

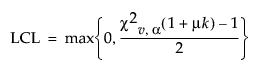
Thus, an approximate level lower and upper control limits, LCL and UCL, respectively, are computed using the following formulas:

Equation shown here

Equation shown here

where:

Equation shown here is the upper (lower) percentile of the chi-square distribution with v = 2μ/(1+μk) degrees of freedom. Negative lower control limits can be set to zero.

For more information about the negative binomial control limits, see Hoffman (2003).

Want more information? Have questions? Get answers in the JMP User Community (community.jmp.com).