For the latest version of JMP Help, visit JMP.com/help.


Publication date: 02/06/2025

Image shown hereStatistical Details for Distributions

The distributions fit by the Generalized Regression personality are defined in terms of the parameters used in model fitting. Although it is not specifically stated as part of their descriptions, the Generalized Regression personality enables you to specify noninteger values for the discrete distributions.

Image shown hereContinuous Distributions

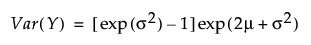
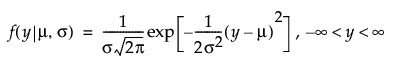
Normal Distribution

Equation shown here

Equation shown here

Equation shown here

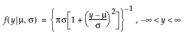
Cauchy Distribution

Equation shown here

Equation shown here

Equation shown here

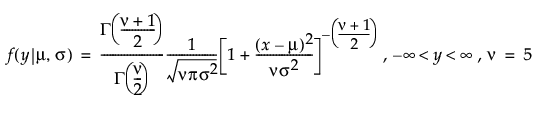
t(5) Distribution

Equation shown here

Equation shown here

Equation shown here

Exponential Distribution

Equation shown here

Equation shown here

Equation shown here

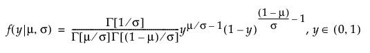
Gamma Distribution

Equation shown here

Equation shown here

Equation shown here

Weibull Distribution

Equation shown here

Equation shown here

Equation shown here

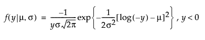
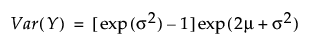
LogNormal Distribution

Equation shown here

Equation shown here

Equation shown here

Negative LogNormal Distribution

Equation shown here

Equation shown here

Equation shown here

Beta Distribution

Equation shown here

Equation shown here

Equation shown here

Image shown hereDiscrete Distributions

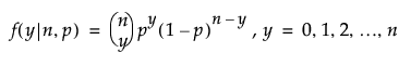
Binomial Distribution

Equation shown here

Equation shown here

Equation shown here

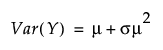
Beta Binomial Distribution

Equation shown here

Equation shown here

Equation shown here

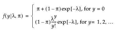
Poisson Distribution

Equation shown here

Equation shown here

Equation shown here

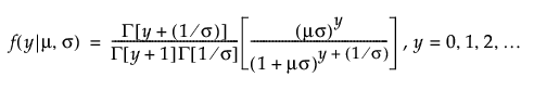
Negative Binomial Distribution

Equation shown here

Equation shown here

Equation shown here

Image shown hereZero-Inflated Distributions

Zero-Inflated Binomial Distribution

Equation shown here

Equation shown here

Equation shown here

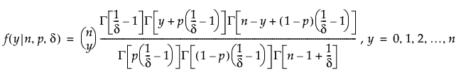
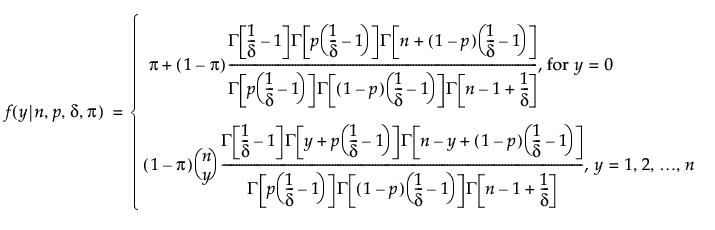
Zero-Inflated Beta Binomial Distribution

Equation shown here

Equation shown here

Equation shown here

Zero-Inflated Poisson Distribution

Equation shown here

Equation shown here

Equation shown here

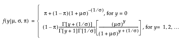
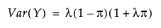
Zero-Inflated Negative Binomial Distribution

Equation shown here

Equation shown here

Equation shown here

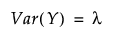
Zero-Inflated Gamma Distribution

Equation shown here

Equation shown here

Equation shown here

Want more information? Have questions? Get answers in the JMP User Community (community.jmp.com).