For the latest version of JMP Help, visit JMP.com/help.


Publication date: 02/06/2025

Statistical Details for CUSUM Control Chart Construction

This section defines the statistics that are used in the construction of the CUSUM Chart. Some of these statistics are also saved in the data table that is created by the Save Summaries command.

One-Sided Upper and Lower Cumulative Sums

The definitions of C+ and C- depend on the setting of the Data Units option.

Note: In the Save Summaries data table, C+ and C- are labeled Upper Cumulative Sum and Lower Cumulative Sum, respectively.

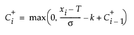
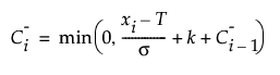
Cumulative Sums in Standardized Units

If the Data Units option is not selected, C+ and C- for each step are defined as follows:

Equation shown here

Equation shown here

where:

xi is the value of the response at the ith step

T is the target of the process

σ is the standard deviation of the process

k is the reference value, in units of standard deviations

If a value is specified for Head Start, that value is used as the initial C+ value and the negative of that value is used as the initial C- value. Otherwise, the initial values of C+ and C- are zero.

Cumulative Sums in Data Units

If the Data Units option is selected, C+ and C- for each step are defined as follows:

Equation shown here

Equation shown here

where:

xi is the value of the response at the ith step

T is the target of the process

σ is the standard deviation of the process

K is the reference value, in units of the data

If a value is specified for Head Start, that value is used as the initial C+ value and the negative of that value is used as the initial C- value. Otherwise, the initial values of C+ and C- are zero.

Counters for Positive and Negative Runs

N+ at each step is the number of steps since the most recent zero value for C+. N- at each step is the number of steps since the most recent zero value for C-.

Note: In the Save Summaries data table, N+ and N- are labeled Positive Runs and Negative Runs, respectively.

Want more information? Have questions? Get answers in the JMP User Community (community.jmp.com).