For the latest version of JMP Help, visit JMP.com/help.


Publication date: 02/06/2025

Statistical Details for Correlation of Estimates

This section contains details about the correlation of estimates in a standard least squares model. Consider a data set with n observations and p–1 predictors. Define the matrix X to be the design matrix. That is, X is the n by p matrix whose first column consists of 1s and whose remaining p–1 columns consist of the p–1 predictor values. (Nominal columns are coded in terms of indicator predictors. Each of these is a column in the matrix X.)

The estimate of the vector of regression coefficients is

Equation shown here

where Y represents the vector of response values.

Under the usual regression assumptions, the covariance matrix of Equation shown hereis

Equation shown here

where σ2 represents the variance of the response.

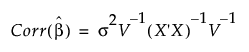
The correlation matrix for the estimates is obtained by dividing each entry in the covariance matrix by the product of the square roots of the diagonal entries. Define V to be the diagonal matrix whose entries are the square roots of the diagonal entries of the covariance matrix:

Equation shown here

Then the correlation matrix for the parameter estimates is given by the following:

Equation shown here

Want more information? Have questions? Get answers in the JMP User Community (community.jmp.com).