For the latest version of JMP Help, visit JMP.com/help.


Publication date: 02/06/2025

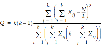
Statistical Details for Cochran’s Q Statistic

Cochran’s Q Test is available in the Multiple Correspondence Analysis platform. The Cochran’s Q test statistic is calculated as follows:

Image shown here

where

k is the number of treatments

b is the number of blocks

Xij is the response (0 or 1) for the ith subject for the kth treatment

N is the grand total of positive responses across all subjects and treatments

Want more information? Have questions? Get answers in the JMP User Community (community.jmp.com).