For the latest version of JMP Help, visit JMP.com/help.


Publication date: 02/06/2025

Statistical Details for Capability Box Plots

This section describes how the Process Capability platform handles processes with missing targets. A column with no target can have both upper and lower specification limits, or only a single specification limit. The calculations used to create the Capability Box plots depend on what specification limits are defined. The notation used in this section is defined in Statistical Details on Notation.

Two Specification Limits and No Target

When no target is specified for the jth column, the capability box plot is based on the following values for the transformed observations:

Equation shown here

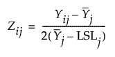
Single Specification Limit and No Target

Suppose that only the lower specification limit is specified. (The case where only the upper specification limit is specified in a similar way.)

When no target is specified for the jth column, the capability box plot is based on the following values for the transformed observations:

Equation shown here

Note: When a column has only one specification limit and no target value, and the sample mean falls outside the specification interval, no capability box plot for that column is plotted.

Want more information? Have questions? Get answers in the JMP User Community (community.jmp.com).