For the latest version of JMP Help, visit JMP.com/help.


Publication date: 02/06/2025

Statistical Details for ARIMA Models

The Time Series platform fits both ARIMA and Seasonal ARIMA models.

ARIMA Model

For a response series {yi}, the general form for the ARIMA model is defined as follows:

Equation shown here

where

t is the time index

B is the backshift operator defined as Byt = yt - 1

wt = (1 - B)d yt is the response series after differencing

μ is the intercept or mean term

Equation shown here and θ(B) are the autoregressive operator and the moving average operator, respectively, and are defined as follows:

Equation shown here

Equation shown here

where

at are the sequence of random shocks

The at are assumed to be independent and normally distributed with mean zero and constant variance.

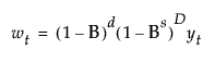
The model can be rewritten as follows:

Equation shown here

The constant estimate δ is given by the relation:

Equation shown here

Seasonal ARIMA Model

In the case of Seasonal ARIMA modeling, the differencing, autoregressive, and moving average operators are the product of seasonal and nonseasonal polynomials:

Equation shown here

Equation shown here

Equation shown here

where s is the number of observations per period. The first index on the coefficients is the factor number (1 indicates nonseasonal, 2 indicates seasonal) and the second is the lag of the term.

Want more information? Have questions? Get answers in the JMP User Community (community.jmp.com).