For the latest version of JMP Help, visit JMP.com/help.


Publication date: 02/06/2025

Spectral Density Report

The Spectral Density report in the Time Series platform contains two spectral density plots and a White Noise Test table.

Figure 18.15 Spectral Density Plots and White Noise Test Report 

Spectral Density Plots and White Noise Test Report

The White Noise Test table contains the following statistics:

Fisher’s Kappa

Tests the null hypothesis that the values in the series are drawn from a normal distribution with variance 1 against the alternative hypothesis that the series has a periodic component. Kappa is the ratio of the maximum value of the periodogram, I(fi), and its average value.

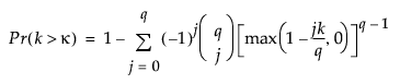
Prob > Kappa

The probability of observing a value larger than Kappa if the null hypothesis is true, given by the following equation:

Equation shown here

where

q = N / 2 if N is even, q = (N - 1) / 2 if N is odd

κ is the observed value of Kappa

The null hypothesis is rejected if this probability is less than the significance level α.

Bartlett’s Kolmogorov-Smirnov

Compares the normalized cumulative periodogram to the cumulative distribution function of the uniform distribution on the interval (0, 1). The test statistic equals the maximum absolute difference of the cumulative periodogram and the uniform CDF. If it exceeds Equation shown here, then one typically rejects the hypothesis that the series comes from a normal distribution. The values a = 1.36 and a = 1.63 correspond to significance levels 5% and 1% respectively.

Want more information? Have questions? Get answers in the JMP User Community (community.jmp.com).